
Installatie
Beschrijving
Start en
programma’s Wasgoed
Veiligheidsinstructies
en
Waarschuwingen
Reiniging en
onderhoud
Problemen
oplossen Technische dienst
NL
77
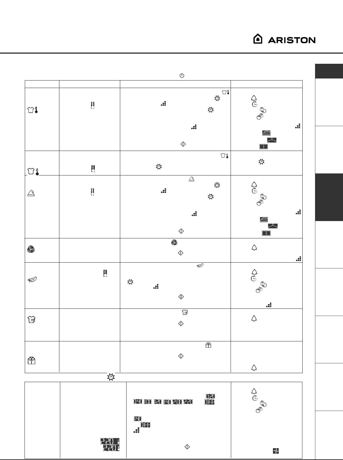
Start en programma’s
Programma’s
! Als het Aan/Uit lampje niet brand; Druk op de AAN/UIT toets en selecteer vervolgens het programma.
Programma
Wat het doet... Hoe in te stellen... Opmerkingen
Katoen
Hoge
Temperatuur
Droogt uw katoenen
kleding op hoge
temperatuur
Beschikbare opties:
zoemer , uitgestelde
starttijd , kreukels
voorkomen , kreukels
herstellen .
1. Druk op de toets Katoen - Hoge temperatuur
2. Selecteer Drogen voor een bepaalde tijd
of Automatisch .
- Als u Drogen voor een bepaalde tijd
selecteert, zie hierna of...
- Om de standaard droogtegraad te wijzigen,
houdt u de toets Droogopties ingedrukt tot
het juiste niveau wordt aangegeven.
3. Selecteer opties indien nodig.
4. Druk op de START toets .
Katoen
Lage
Temperatuur
Droogt uw katoenen
kleding op lage
temperatuur
Beschikbare opties:
zie Drogen voor een
bepaalde tijd hieronder
1. Druk op de toets Katoen - Lage temperatuur
2. Selecteer een droogtijd, zie Drogen voor een
bepaalde tijd hieronder.
Drogen
gedurende
een bepaalde
tijd
Drogen voor een bepaalde tijd
(0:20, 0:40,
1:00, 1:20, 1:40,
2:00 of 2:20
Uur : Minuten)
Gebruik Drogen voor een
bepaalde tijd altijd voor
ladingen van minder dan 1
kg, of als u een ander
droogresultaat wenst.
De warmte instelling is
afhankelijk van het soort stof
wat gedroogd wordt:
De display toont
LAGE temperatuur of
HOGE temperatuur
zoals van toepassing.
Raadpleeg de droogtabel
(zie Wasgoed).
De laatste 10 minuten van
deze programma’s is de
koude-luchtfase .
1. Druk op de toets Drogen voor bepaalde tijd
tot de display de gewenste selectie weergeeft.
Met elke druk op de toets loopt de ,
, , , , ,
door en
herhaalt vervolgens.
●
Delicate stoffen hebben een maximumtijd van:
.
●
Als wordt weergegeven, is Automatisch
drogen mogelijk als u van gedachten
verandert.
2. Selecteer opties indien nodig.
3. Druk op de START toets .
Kort programma (ongeveer
10 minuten) dat de vezels
verzacht van kleding die
gestreken gaat worden.
! Dit is geen droogprogramma
(zie vorige pagina).
Beschikbare opties:
zoemer
1. Druk op de toets Gemakkelijk strijken
2. Selecteer opties indien nodig.
3. Druk op de START toets .
Synthetisch
materiaal
Droogt uw Synthetische
kleding op hoge
temperatuur
1. Druk op de toets Synthetisch
2. Selecteer Drogen voor een bepaalde tijd
of Automatisch .
- Als u Drogen voor een bepaalde tijd
selecteert, zie hierna of...
- Om de standaard droogtegraad te wijzigen,
houdt u de toets Droogopties ingedrukt tot
het juiste niveau wordt aangegeven.
3. Selecteer opties indien nodig.
4. Druk op de START toets .
Delicate
stoffen
(bijv. Acryl)
Droogt uw kleding op
lage temperatuur ,
zodat ze daarna
gedragen kan worden.
1. Druk op de toets Delicate stoffen
2. Indien een programma voor een bepaalde tijd
gewenst is (zie Drogen voor een bepaalde tijd
hieronder). Standaard instelling is
Automatisch .
3. Selecteer opties indien nodig.
4. Druk op de START toets .
Wol
Droogt uw wollen kleding
(zie vorige pagina).
Beschikbare opties:
zoemer
●
Een Automatisch programma
1. Druk op de toets Wol
2. Selecteer opties indien nodig.
3. Druk op de START toets .
LUCHTEN
Gemakkelijk
strijken
Programma van 20 minuten
voor het luchten van uw
kleding met koude lucht.
Kan ook gebruikt worden
om warme kleding af te
koelen.
1. Druk op de toets Luchten
2. Selecteer opties indien nodig.
3. Druk op de START toets .
: standaard
Beschikbare opties:
zoemer , uitgestelde
starttijd , kreukels
voorkomen , kreukels
herstellen .
Beschikbare opties:
zoemer , uitgestelde
starttijd , kreukels
voorkomen , kreukels
herstellen .
●
Standaard instelling is
Automatisch
Beschikbare opties:
zoemer , uitgestelde
starttijd , kreukels
voorkomen , kreukels
herstellen .
Beschikbare opties:
zoemer
Droogopties: Automatisch
Strijkdroog
Ophangdroog
Kastdroog
: standaard
Droogopties: Automatisch
Strijkdroog
Ophangdroog
Kastdroog
Kommentare zu diesen Handbüchern